41 Recommendations in Babine Inquest
Friday, July 31, 2015 @ 5:18 PM
Burns Lake, B.C. – The jury for the Coroner’s inquest into the deaths of Robert Luggi Jr, and Carl Charlie has determined their deaths to be accidental, and that both men died because of “exposure to explosion and fire”
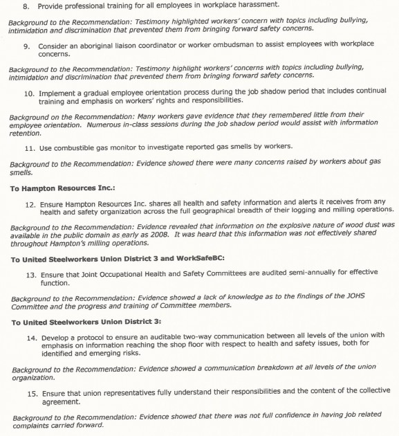
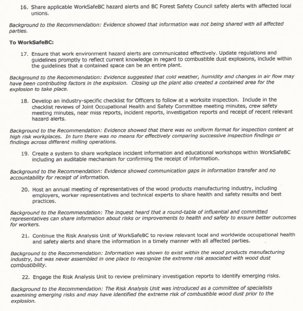
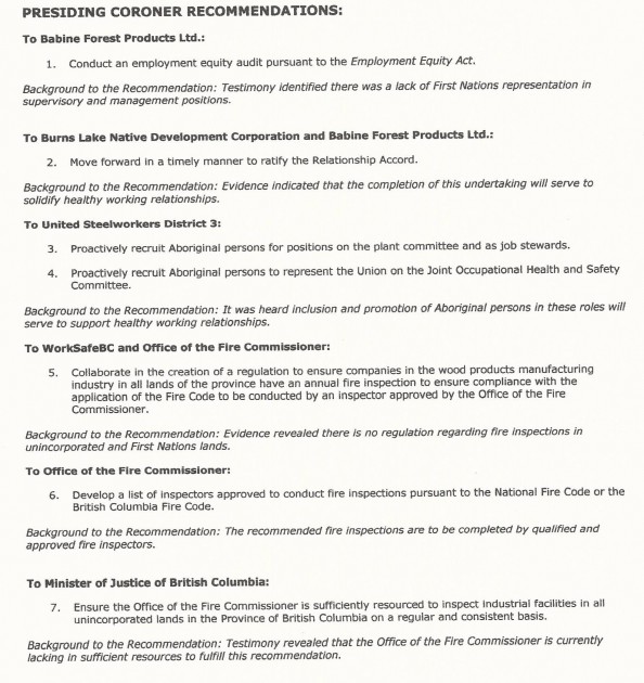
In all, there are 33 recommendations from the Jury and a further 8 from the presiding Coroner:







Comments
The verdict of the Inquest is also suppose to include the classification of the deaths of Mr. Luggi and Mr. Charlie, I will bet their deaths are ruled “accidental” just like Allan Little’s and Glen Roche’s deaths were ruled accidental. Culpable homicide should have been the correct classification of all four deaths, IMO.
IMO, this ends, the dog and pony show, where everyone gets to walk away clean, even though WSBS ruled that these two tragic events were “preventable”. As for these 41 recommendations, my understanding is that they can either be ignored or acted upon, so lets flip a coin on that one.
Guess you didn’t read the article by your comment. You were not on the inquest jury and thus did not have all the evidence before you and thus cannot make a informed classification. If you have followed the case you would have seen that there were charges recommended by Worksafe but because of legal issues they could not be brought forward – even if there was a finding of homicide by the inquest jury.
“If you have followed the case you would have seen that there were charges recommended by Worksafe but because of legal issues they could not be brought forward”
It is not that they could not be brought forward at all. The comments about that is that they will likely not win the case if they did. That is entirely different.
Charges can most certainly be brought forward. The crown prosecutor is making a statement that they do not want to because it would be too costly.
This inquest once more shows to me that there is something wrong in BC and very specifically wrong with the two mill explosion cases. People such are you are far too apathetic. It is obvious from these recommendations that this is another SNAFU from the events leading up to the explosions, the responder events immediately after the explosions, the investigations by WSBC, the mindset of Crown Council, the government which is responsible for WSBC and the justice system, as well as the coroners inquiries.
A system where these plants are allowed to keep on operating without due regard to the safety of their workers, and that includes the owners as well as the unions, even after receiving repeated warnings and orders, is broken. It is as simple as that.
As far as the recommendation to produce a safety video about mill dust and what causes mill explosions, they have been around for a long time. Here is one which explains how these explosions occur. It does not take a rocket scientist of a mill operator, union, and individual worker to figure out how to make sure the plant that you own or the plant that you are working in can be operated safely every day.
youtube.com/watch?v=3d37Ca3E4fA
“You were not on the inquest jury and thus did not have all the evidence before you and thus cannot make a informed classification”
BTW, neither were you slinky, nor I, nor anyone else who is commenting on here. You also likely do not work for Crown Counsel nor for WSBC, nor for any ministry responsible to ensure that agencies act in the way they are intended to act.
Therefore, based on your opinion, you also should not be making comments as to whether the whole process is being carried out with due diligence.
The thing is, processes such as coroner inquiries are public so that we can see what is going on and we can each make informed decisions from what we see whether we think that the system is working and we can continue to have confidence in how well our system is working or it is not and something needs to be done about it and we, as individuals or as groups can either be complacent or we can try our best to do something about it.
slinky says…….”because of legal issues they could not be brought forward”
Here I fixed that for you……..because of incompetent investigators they could not be brought forward.
slinky states; “You were not on the inquest jury and thus did not have all the evidence before you and thus cannot make a informed classification.”
It is the Coroner’s responsibility to classify the deaths, with or without an inquest.
Again, brilliant move to have a coroner’s inquest by the province INO, from the BC Ministry of Justice’s own website: “The Coroners Service is a fact-finding, “not a fault-finding agency” that provides an independent service to the family, community, government agencies and other organizations.”
IMO, when certain parties know they are at fault, go with a coroner’s inquest, which cannot establish fault. Well played, well played!
Ooops, the should read … by the province IMO, … need to cover my butt from a legal stand point, after all in a free society, everyone is still entitled to their opinions right?
I actually take offense to this Mr “gopg2015”:
————————————————
“BTW, neither were you slinky, nor I, nor anyone else who is commenting on here. You also likely do not work for Crown Counsel nor for WSBC, nor for any ministry responsible to ensure that agencies act in the way they are intended to act.
Therefore, based on your opinion, you also should not be making comments as to whether the whole process is being carried out with due diligence”
————————————————-
I made no such comments you asserted to. The article clearly states the jury finding as to the determined cause of death in the first paragraph.
I can, however, point out how each agency acted (according to their press releases) instead of making conjecture – as unless SS (or you or I or anyone else) was at every hearing during the inquiry he/she/we/they cannot make the same informed decision as the jury has made; largely due to the fact that they may have missed the one key piece of evidence that pointed in a completely different direction. And that is why both the Coroner and the jury don’t just read the paper or a blog summary.
As for your comment “Charges can most certainly be brought forward. The crown prosecutor is making a statement that they do not want to because it would be too costly.”
While yes, they could bring forth charges as recommended by the WSBC (which was towards the Babine entity only and no individuals btw) but the likelihood of the evidence being thrown out because of mistakes in the investigative process are what would make them not want to – not as you say “because it would be too costly”. Read the media release by the Attorney General’s Office, not once is it mentioned that the case would be too costly.
Even a finding of fault toward any individual would not change how the evidence was obtained
Thus completes the p—ing match
OK maybe I don’t understand something here. There was a fire. People died and got hurt.
So what’s with all the first nations recommendations and needing special personnel and policies for them?
Do they speak a different language?
Can they not read and comprehend English?
Just wondering what the Frick all the first nations recommendations have to do with the price of tea I’m China?
Comments for this article are closed.